Is error end event a terminatng event?

Hello,

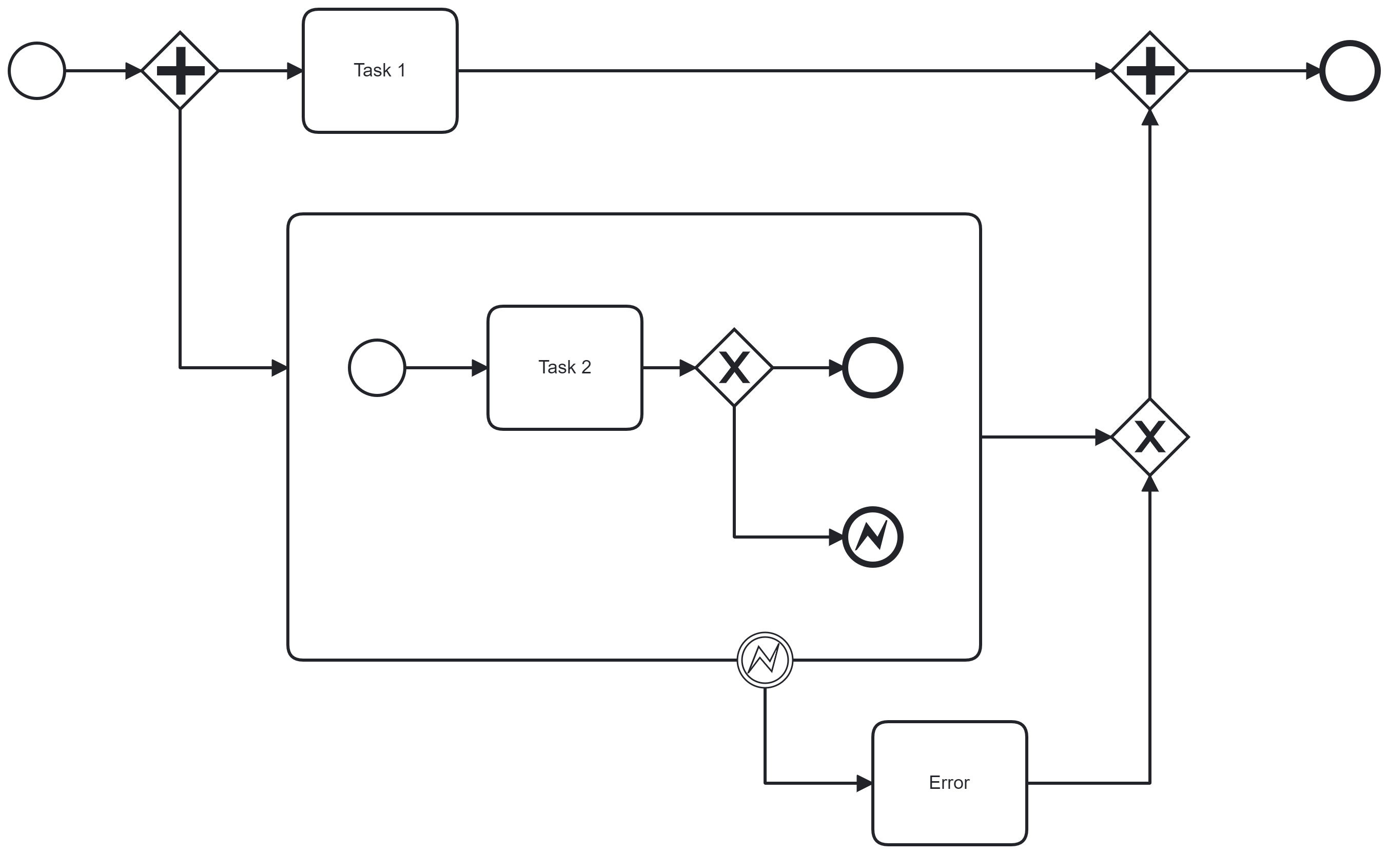
does an error end event work as a terminating event?

If I have a process model with two branches, and one of the branches reaches an error end event while the othe branch is still active (has tokens): should the tokens in the still active branch disappear when the error end event is executed?

Thank you for any hints.

Hi @fml2,

When an error event is caught, the activity on which the boundary event is defined is destroyed, also destroying all current executions therein (e.g., concurrent activities, nested subprocesses, etc.). Process execution continues following the outgoing sequence flow of the boundary event

so if this is not the intended behavior then the logic of the branch at which the error is expected to be thrown could be embedded within a subprocess to which the boundary event is attached.

1 Like